SOLUTION: The population of Guatemala in 2000 was 12.7 million. 1. Assuming exponential growth, what would be the size of the population after time t (measured in years after 2000) if the p

Algebra ->  Exponential-and-logarithmic-functions -> SOLUTION: The population of Guatemala in 2000 was 12.7 million. 1. Assuming exponential growth, what would be the size of the population after time t (measured in years after 2000) if the p      Log On


   



Question 1092022: The population of Guatemala in 2000 was 12.7 million.
1. Assuming exponential growth, what would be the size of the population after time t (measured in years after 2000) if the population was 15 million in 2020?
Answer (in millions): P(t)=
2. Assuming exponential growth, what would be the size of the population after time t (measured in years after 2000) if the population was 15 million in 2125?
Answer (in millions): P(t)=

Answer by greenestamps(13200) About Me  (Show Source):
You can put this solution on YOUR website!

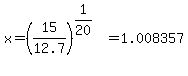
1. It takes 20 years for the population to grow from 12.7 million to 15 million.

12.7%28x%29%5E20+=+15
x%5E20+=+15%2F12.7
x+=+%2815%2F12.7%29%5E%281%2F20%29+=+1.008357...

So P(t) = 12.7(1.008357)^t

2. Perform the same calculations using 15 instead of 20 for the number of years....