SOLUTION: {{{ x^sqrt(2) = 81^ (1/sqrt( 8 )) }}} Solve. Justify your work The number above the square root of 8 is a one

Algebra ->  Exponential-and-logarithmic-functions -> SOLUTION: {{{ x^sqrt(2) = 81^ (1/sqrt( 8 )) }}} Solve. Justify your work The number above the square root of 8 is a one      Log On


   



Question 1078473: +x%5Esqrt%282%29+=+81%5E+%281%2Fsqrt%28+8+%29%29+
Solve. Justify your work
The number above the square root of 8 is a one

Found 2 solutions by josgarithmetic, MathTherapy:
Answer by josgarithmetic(39818) About Me  (Show Source):
You can put this solution on YOUR website!
x^sqrt(2) = 81^ (1/sqrt( 8 ))


If simplify, the equation is x%5E%28sqrt%282%29%29=3%5E%288sqrt%282%29%29.

x%5Esqrt%282%29=%283%5E8%29%5Esqrt%282%29

The exponents are the same; and the bases on left and right must be equal.

highlight%28x=3%5E8%29

Answer by MathTherapy(10837) About Me  (Show Source):
You can put this solution on YOUR website!
+x%5Esqrt%282%29+=+81%5E+%281%2Fsqrt%28+8+%29%29+
Solve. Justify your work
The number above the square root of 8 is a one
**********************************************
The other person's answer, x+=+3%5E8 is WRONG!!

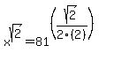
highlight%28matrix%282%2C1%2C+%22+%22%2C+x%5Esqrt%282%29+=+81%5E%281%2Fsqrt%288%29%29%29%29___matrix%282%2C1%2C+%22+%22%2C+x%5Esqrt%282%29+=+81%5E%281%2F%282sqrt%282%29%29%29%29______matrix%282%2C1%2C+%22+%22%2C+x%5Esqrt%282%29+=+81%5E%28%28sqrt%282%29%2F2%282%29%29%29%29
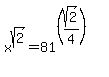
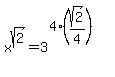
matrix%282%2C1%2C+%22+%22%2C+x%5Esqrt%282%29+=+81%5E%28%28sqrt%282%29%2F4%29%29%29___matrix%282%2C1%2C+%22+%22%2C+x%5Esqrt%282%29+=+%283%5E4%29%5E%28%28sqrt%282%29%2F4%29%29%29___matrix%282%2C1%2C+%22+%22%2C+x%5Esqrt%282%29+=+3%5E%284+%2A+%28sqrt%282%29%2F4%29%29%29______highlight%28matrix%282%2C1%2C+%22+%22%2C+x%5Esqrt%282%29+=+3%5Esqrt%282%29%29%29

The EXPONENTS are the same, so equating the BASES, x = 3