SOLUTION: I'm not sure how to set up this problem. a) Evaluate the expression in part (a) without using a calculator. a) Use your result from part (a) to write the expression in part (

Algebra ->  Exponential-and-logarithmic-functions -> SOLUTION: I'm not sure how to set up this problem. a) Evaluate the expression in part (a) without using a calculator. a) Use your result from part (a) to write the expression in part (      Log On


   



Question 1060994: I'm not sure how to set up this problem.
a) Evaluate the expression in part (a) without using a calculator.
a) Use your result from part (a) to write the expression in part (b) as a single logarithm whose coefficient is 1.
91.) a) (log25)5
-For this I got 1/2
which is correct.
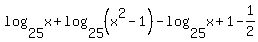
b.) (log25)x + (log25)(x^2-1) - (log25)(x+1) - 1/2
Really not sure what to do here.
But the answer in the book is two equivalent logarithmic expressions (separated by an equal sign.)

Found 4 solutions by Alan3354, Theo, josmiceli, rothauserc:
Answer by Alan3354(69443) About Me  (Show Source):
You can put this solution on YOUR website!
a) Evaluate the expression in part (a) without using a calculator.
a) Use your result from part (a) to write the expression in part (b) as a single logarithm whose coefficient is 1.
91.) a) (log25)5
-For this I got 1/2
which is correct.
============
Then why mention it?
5 is the sqrt(25) --? 5 = 25^(1/2)
-----------------------
b.) (log25)x + (log25)(x^2-1) - (log25)(x+1) - 1/2
This is part b.
What is it you want to do?
===========================================
Really not sure what to do here.
But the answer in the book is two equivalent logarithmic expressions (separated by an equal sign.)

Answer by Theo(13342) About Me  (Show Source):
You can put this solution on YOUR website!
as far as i can tell, your answer is going to be:

log25(x*(x-1))/5

i checked that answer out by evaluating the original expression and the final expression and i got the same answer, so i'm reasonably certain it's correct.

i don't see this as an equation.

it's just an expression.

if you let me know what the answer is supposed to be, i can probably figure out how they got it.





Answer by josmiceli(19441) About Me  (Show Source):
You can put this solution on YOUR website!
Here's the trick:
You already said +log%28+25%2C5+%29+=+1%2F2+
Take the reverse of this and plug it into
your 2nd equation:
+log%28+25%2Cx+%29+%2B+log%28+25%2C%28+x%5E2+-+1+%29+%29+-+log%28+25%2C+x%2B1+%29+-+1%2F2+

Now use the rules:
+log%28+a%2Cb+%29+%2B+log%28+a%2Cc+%29+=+log%28+a%2C+b%2Ac+%29+
+log%28+a%2Cb+%29+-+log%28+a%2Cc+%29+=+log%28+a%2C+b%2Fc+%29+
---------------------------------------
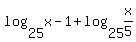
+log%28+25%2C+%28+x%5E2+-+1+%29+%2F+%28+x%2B1+%29+%29+%2B+log%28+25%2C+x%2F5+%29+
+log%28+25%2C+x+-+1+%29+%2B+log%28+25%2C+x%2F5+%29+
+log%28+25%2C+%28+x%5E2+-+x+%29%2F5+%29+
--------------------------------
check the answer:
In the original equation, I'll say +x+=+24+,
because numbers work out good
-----------------------------------------
+log%28+25%2Cx+%29+%2B+log%28+25%2C%28+x%5E2+-+1+%29+%29+-+log%28+25%2C+x%2B1+%29+-+1%2F2+

+log%28+25%2C24+%29+%2B+log%28+25%2C+23%2A25+%29++-+1+-+1%2F2+
+log%28+25%2C24+%29+%2B+1+%2B+log%28+25%2C23+%29+-+3%2F2+
+log%28+25%2C+%2823%2A24%29+%29+-+1%2F2+
+log%28+25%2C+%28552%29+%29+-+1%2F2+
It can also be:
+log%28+25%2C+552%2F5+%29+
--------------------------
Now I'll check the answer:
+log%28+25%2C+%28+x%5E2+-+x+%29%2F5+%29+
+log%28+25%2C+%28+24%5E2+-+24+%29%2F5+%29+
+log%28+25%2C+%28+576+-+24+%29%29+-+1%2F2+
+log%28+25%2C+%28552%29+%29+-+1%2F2+
OK
Hope I got it!


Answer by rothauserc(4718) About Me  (Show Source):
You can put this solution on YOUR website!
91.a) log(25) 5 =
:
5 = 25^x
:
x = 1/2, which is square root
:
91.b) log(25) x + log(25) (x^2 - 1) - log(25) (x+1) - 1/2
:
use the log rule - logb(x ∙ y) = logb(x) + logb(y)
:
log(25) (x^3 - x) - log(25) (x+1) = 1/2
:
use the log rule - logb(x / y) = logb(x) - logb(y)
:
log(25) (( x^3 - x) / (x + 1)) = 1/2
:
log(25) (x * (x - 1) * (x + 1)) / (x + 1) = 1/2
:
log(25) (x^2 - x) = 1/2
:
log(25) (x^2 - x) = log(25) 5
:
*********
log(25) 5
*********
: