SOLUTION: Condense each to a single logarithmic expression: 1/3[2log(x+5) - logx - log(x^2 - 4)] Thank you!

Algebra ->  Exponential-and-logarithmic-functions -> SOLUTION: Condense each to a single logarithmic expression: 1/3[2log(x+5) - logx - log(x^2 - 4)] Thank you!      Log On


   



Question 1028973: Condense each to a single logarithmic expression:
1/3[2log(x+5) - logx - log(x^2 - 4)]
Thank you!

Answer by ikleyn(52803) About Me  (Show Source):
You can put this solution on YOUR website!
.
Condense each to a single logarithmic expression:
1/3[2log(x+5) - logx - log(x^2 - 4)]
Thank you!
~~~~~~~~~~~~~~~~~~~~~~~~~~~~~~~

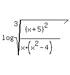
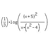
%281%2F3%29%2A%282log%28%28x%2B5%29%29+-+log%28%28x%29%29+-+log%28%28x%5E2+-+4%29%29%29 = %281%2F3%29%2Alog%28%28%28%28x%2B5%29%5E2%29%2F%28x%2A%28x%5E2-4%29%29%29%29%29 = log%28root%283%2C%28%28x%2B5%29%5E2%29%2F%28x%2A%28x%5E2-4%29%29%29%29%29.