SOLUTION: how to factor m^2+2m+2=0
Algebra
->
Distributive-associative-commutative-properties
-> SOLUTION: how to factor m^2+2m+2=0
Log On
Algebra: Distributive, associative, commutative properties, FOIL
Section
Solvers
Solvers
Lessons
Lessons
Answers archive
Answers
Click here to see ALL problems on Distributive-associative-commutative-properties
Question 951040
:
how to factor m^2+2m+2=0
Answer by
Fombitz(32388)
(
Show Source
):
You can
put this solution on YOUR website!
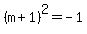
Complete the square,
So then in factored form,