SOLUTION: Simplify (3 / x^2 - 5x + 4) + (2 / x^2 - 1) how do I do this
Algebra
->
Distributive-associative-commutative-properties
-> SOLUTION: Simplify (3 / x^2 - 5x + 4) + (2 / x^2 - 1) how do I do this
Log On
Algebra: Distributive, associative, commutative properties, FOIL
Section
Solvers
Solvers
Lessons
Lessons
Answers archive
Answers
Click here to see ALL problems on Distributive-associative-commutative-properties
Question 932775
:
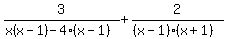
Simplify
(3 / x^2 - 5x + 4) + (2 / x^2 - 1) how do I do this
Answer by
MathLover1(20850)
(
Show Source
):
You can
put this solution on YOUR website!
Simplify
....factor first
....common denominator is