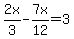
SOLUTION: how do I solve 2/3x-7/12x=3 I am confused
Algebra
->
Distributive-associative-commutative-properties
-> SOLUTION: how do I solve 2/3x-7/12x=3 I am confused
Log On
Algebra: Distributive, associative, commutative properties, FOIL
Section
Solvers
Solvers
Lessons
Lessons
Answers archive
Answers
Click here to see ALL problems on Distributive-associative-commutative-properties
Question 764155
:
how do I solve 2/3x-7/12x=3 I am confused
Answer by
lwsshak3(11628)
(
Show Source
):
You can
put this solution on YOUR website!
how do I solve 2/3x-7/12x=3
LCD:12
8x-7x=36
x=36