SOLUTION: I have a factoring math problem.******I didn't include the problem on my other one. Here is the corrected math problem question***************** Factoring: Find GCF - Revers

Algebra ->  Distributive-associative-commutative-properties -> SOLUTION: I have a factoring math problem.******I didn't include the problem on my other one. Here is the corrected math problem question***************** Factoring: Find GCF - Revers      Log On


   



Question 257298: I have a factoring math problem.******I didn't include the problem on my other one. Here is the corrected math problem question*****************

Factoring: Find GCF - Reverse Foil (Quadratic - 2 binomials)
x^2 + 5x + 6
My answer is: (x-1)(x+5)
I don't know about this one.
Please let me know.

Answer by jim_thompson5910(35256) About Me  (Show Source):
You can put this solution on YOUR website!
The GCF of x%5E2+%2B+5x+%2B+6 is 1, but it is trivial to factor it out. So we don't have to worry about the GCF.



Looking at the expression x%5E2%2B5x%2B6, we can see that the first coefficient is 1, the second coefficient is 5, and the last term is 6.


Now multiply the first coefficient 1 by the last term 6 to get %281%29%286%29=6.


Now the question is: what two whole numbers multiply to 6 (the previous product) and add to the second coefficient 5?


To find these two numbers, we need to list all of the factors of 6 (the previous product).


Factors of 6:
1,2,3,6
-1,-2,-3,-6


Note: list the negative of each factor. This will allow us to find all possible combinations.


These factors pair up and multiply to 6.
1*6 = 6
2*3 = 6
(-1)*(-6) = 6
(-2)*(-3) = 6

Now let's add up each pair of factors to see if one pair adds to the middle coefficient 5:


First NumberSecond NumberSum
161+6=7
232+3=5
-1-6-1+(-6)=-7
-2-3-2+(-3)=-5



From the table, we can see that the two numbers 2 and 3 add to 5 (the middle coefficient).


So the two numbers 2 and 3 both multiply to 6 and add to 5


Now replace the middle term 5x with 2x%2B3x. Remember, 2 and 3 add to 5. So this shows us that 2x%2B3x=5x.


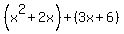
x%5E2%2Bhighlight%282x%2B3x%29%2B6 Replace the second term 5x with 2x%2B3x.


%28x%5E2%2B2x%29%2B%283x%2B6%29 Group the terms into two pairs.


x%28x%2B2%29%2B%283x%2B6%29 Factor out the GCF x from the first group.


x%28x%2B2%29%2B3%28x%2B2%29 Factor out 3 from the second group. The goal of this step is to make the terms in the second parenthesis equal to the terms in the first parenthesis.


%28x%2B3%29%28x%2B2%29 Combine like terms. Or factor out the common term x%2B2


===============================================================


Answer:


So x%5E2%2B5x%2B6 factors to %28x%2B3%29%28x%2B2%29.


In other words, x%5E2%2B5x%2B6=%28x%2B3%29%28x%2B2%29.


Note: you can check the answer by expanding %28x%2B3%29%28x%2B2%29 to get x%5E2%2B5x%2B6 or by graphing the original expression and the answer (the two graphs should be identical).