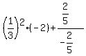
SOLUTION: (1/3)^2(-2)+(2/5)/(-2/5) I'm having trouble with this problem, could someone please help me? Thank you!
Algebra
->
Distributive-associative-commutative-properties
-> SOLUTION: (1/3)^2(-2)+(2/5)/(-2/5) I'm having trouble with this problem, could someone please help me? Thank you!
Log On
Algebra: Distributive, associative, commutative properties, FOIL
Section
Solvers
Solvers
Lessons
Lessons
Answers archive
Answers
Click here to see ALL problems on Distributive-associative-commutative-properties
Question 198360
:
(1/3)^2(-2)+(2/5)/(-2/5)
I'm having trouble with this problem, could someone please help me?
Thank you!
Answer by
arallie(162)
(
Show Source
):
You can
put this solution on YOUR website!