SOLUTION: How do I divide? Do I cancell out first? fraction 1: 12-4x/x^2-1 divided by fraction 2: 9-x^2/x^2+4x+3
Algebra
->
Distributive-associative-commutative-properties
-> SOLUTION: How do I divide? Do I cancell out first? fraction 1: 12-4x/x^2-1 divided by fraction 2: 9-x^2/x^2+4x+3
Log On
Algebra: Distributive, associative, commutative properties, FOIL
Section
Solvers
Solvers
Lessons
Lessons
Answers archive
Answers
Click here to see ALL problems on Distributive-associative-commutative-properties
Question 171488
:
How do I divide? Do I cancell out first?
fraction 1: 12-4x/x^2-1
divided by
fraction 2: 9-x^2/x^2+4x+3
Answer by
monika_p(71)
(
Show Source
):
You can
put this solution on YOUR website!
Fraction
write as
Fraction
write as
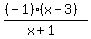
=
=
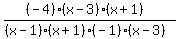
to divide 2 fractions means multiply first by inverse of the second:
*
=
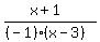
=