SOLUTION: (5)/(x+3) - (2)/(x-3) Add or subtract as indicated.

Algebra ->  Distributive-associative-commutative-properties -> SOLUTION: (5)/(x+3) - (2)/(x-3) Add or subtract as indicated.      Log On


   



Question 1168089: (5)/(x+3) - (2)/(x-3)
Add or subtract as indicated.

Answer by Edwin McCravy(20064) About Me  (Show Source):
You can put this solution on YOUR website!
Instead of doing your problem for you, I'll do one EXACTLY like it,
step-by-step.  Use it as a model to do yours by:

%286%29%2F%28x%2B4%29+-+%283%29%2F%28x-4%29%22%22=%22%22

The LCD is (x+4)(x-4), so multiply both fractions by %28%28x%2B4%29%28x-4%29%29%2F%28%28x%2B4%29%28x-4%29%29 [which just equals 1].

%22%22=%22%22

%22%22=%22%22

%22%22=%22%22

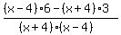
%28%28x-4%29%2A6-%28x%2B4%29%2A3%29%2F%28%28x%2B4%29%28x-4%29%29%22%22=%22%22

%286%28x-4%29-3%28x%2B4%29%29%2F%28%28x%2B4%29%28x-4%29%29%22%22=%22%22

%286x-24-3x-12%29%2F%28%28x%2B4%29%28x-4%29%29%22%22=%22%22

%283x-36%29%2F%28%28x%2B4%29%28x-4%29%29%22%22=%22%22

%283%28x-12%29%29%2F%28%28x%2B4%29%28x-4%29%29

Now do yours exactly the same way.

Edwin