SOLUTION: P(2,5),Q(-1,-3) Find the distance d(P,Q)
Algebra
->
Coordinate-system
-> SOLUTION: P(2,5),Q(-1,-3) Find the distance d(P,Q)
Log On
Algebra: Coordinate systems, graph plotting, etc
Section
Solvers
Solvers
Lessons
Lessons
Answers archive
Answers
Click here to see ALL problems on Coordinate-system
Question 950407
:
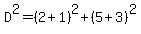
P(2,5),Q(-1,-3)
Find the distance d(P,Q)
Answer by
Fombitz(32388)
(
Show Source
):
You can
put this solution on YOUR website!