SOLUTION: Dear Math Tutor, A triangle is formed by the points A(-1,3), B(5,7 and C(0,8) (a) show that angle ACB is a right angle (b) Find the coordinates of the point where the line thr

Algebra ->  Coordinate-system -> SOLUTION: Dear Math Tutor, A triangle is formed by the points A(-1,3), B(5,7 and C(0,8) (a) show that angle ACB is a right angle (b) Find the coordinates of the point where the line thr      Log On


   



Question 870657: Dear Math Tutor,
A triangle is formed by the points A(-1,3), B(5,7 and C(0,8)
(a) show that angle ACB is a right angle
(b) Find the coordinates of the point where the line through B parallel to AC cuts the x-axis.
Would greatly appreciate your help.
With gratitude,
Nats

Found 2 solutions by mananth, dkppathak:
Answer by mananth(16946) About Me  (Show Source):
You can put this solution on YOUR website!
A(-1,3), B(5,7 and C(0,8)
are the vertices of right triangle
so their lengths follow Pythagorean principle
Sum of square of two sides = square of the third side
find AB , BC, CA by using distance formula
d(AB)
Distance between two points A & B
x1 y1 x2 y2

-1 3 5 7
d= sqrt%28%28y2-y1%29%5E2%2B%28x2-x1%29%5E2%29
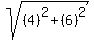
d= sqrt%28%28%09%097%09-%093%09%29%5E2%09%2B%09%28%095%09-%09-1%09%29%5E2%09%29
d= sqrt%28%28%09%094%09%29%5E2%09%2B%09%28%096%09%29%5E2%09%29
d= sqrt%28%28%09%0952%09%29++%09%29
d= 7.21
d(B,C)
Distance between two points B&C
x1 y1 x2 y2

5 7 0 8
d= sqrt%28%28y2-y1%29%5E2%2B%28x2-x1%29%5E2%29
d= sqrt%28%28%09%098%09-%097%09%29%5E2%09%2B%09%28%090%09-%095%09%29%5E2%09%29
d= sqrt%28%28%09%091%09%29%5E2%09%2B%09%28%09-5%09%29%5E2%09%29
d= sqrt%28%28%09%0926%09%29++%09%29
d= 5.10
d(A,C)
Distance between two points A&C
x1 y1 x2 y2

-1 3 0 8
d= sqrt%28%28y2-y1%29%5E2%2B%28x2-x1%29%5E2%29
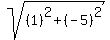
d= sqrt%28%28%09%098%09-%093%09%29%5E2%09%2B%09%28%090%09-%09-1%09%29%5E2%09%29
d= sqrt%28%28%09%095%09%29%5E2%09%2B%09%28%091%09%29%5E2%09%29
d= sqrt%28%28%09%0926%09%29++%09%29
d= 5.10
(5.10)^2+5.10)^^2=52.02
(7.2)^2= 51.98



Answer by dkppathak(439) About Me  (Show Source):
You can put this solution on YOUR website!
A triangle is formed by the points A(-1,3), B(5,7 and C(0,8)
(a) show that angle ACB is a right angle
(b) Find the coordinates of the point where the line through B parallel to AC cuts the x-axis.
Answer by distance formula
(A)
AB=square root of (5+1)^2+ (7-3)^2 =36 +16 =SQUARE ROOT OF 52
AC=SQUARE ROOT OF (0+1)^2 +(8-3)^2 = 1+ 25 = SQUARE ROOT OF 26
BC =SQUARE ROOT OF (0-5)^2 +(8-7)^2 = 25 + 1= SQUARE ROOT OF 26
BY USING PYTHAGORAS THEOREM FOR RIGHT TRIANGLE
(SQUARE ROOT OF 52)^2 =(SQUARE ROOT OF 26)^2 + ( SQUARE ROOT OF 26)^2
52 = 26 +26
52 = 52 PYTHAGORAS THEOREM SATISFIED THEREFORE WE CAN SAY ANGLE ACB IS RIGHT ANGLE PROVED
(B)
SLOP OF AC =8-3/0+1 = 5/1
SLOPE OF LINE PASSING THROUGH B AND INTERSECT X AXIS LET COORDINATE AT X AXIS IS (X,0)
SLOPE OF LINE = 0-7/X-5 =-7/X-5
SLOPE OF PARALLEL LINES ARE ALWAYS EQUAL
-7/X-5 =5/1
-7 =5(X-5)
-7= 5X-25
-7+25 =5X
18=5X
X=18/5= 3.6
COORDINATES ARE (3.6,0) AT X AXIS