SOLUTION: ``prove that the points A(0,-3), B(2,1) and C(9,-6) all lie on the circumference of a circle with the centre (5,-3).''

Algebra ->  Coordinate-system -> SOLUTION: ``prove that the points A(0,-3), B(2,1) and C(9,-6) all lie on the circumference of a circle with the centre (5,-3).''      Log On


   



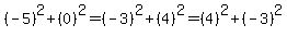
Question 839160: ``prove that the points A(0,-3), B(2,1) and C(9,-6) all lie on the circumference of a circle with the centre (5,-3).''
Answer by Fombitz(32388) About Me  (Show Source):