SOLUTION: The distance between the two points A(a,1,2) and B(5,a,3) is 3. Find the value of .

Algebra ->  Coordinate-system -> SOLUTION: The distance between the two points A(a,1,2) and B(5,a,3) is 3. Find the value of .      Log On


   



Question 748072: The distance between the two points A(a,1,2) and B(5,a,3) is 3. Find the value of .
Answer by tommyt3rd(5050) About Me  (Show Source):
You can put this solution on YOUR website!
If you mean find the value of a, then here we go:

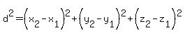
It's convenient to use distance squared in this case (why?)

%0D%0A3%5E2=%285-a%29%5E2%2B%28a-1%29%5E2%2B%283-2%29%5E2%0D%0A


%0D%0A9=%2825-10a%2Ba%5E2%29%2B%28a%5E2-2a%2B1%29%2B%0D%0A1


and after some simplifying and rearranging
%0D%0A2a%5E2-12a-18=0%0D%0A
then
%0D%0Aa%5E2-6a-9=0%0D%0A

which is a perfect square and tells us a=3