SOLUTION: state the slope & y intercept of the graph of each equation 2x-4y=10

Algebra ->  Coordinate-system -> SOLUTION: state the slope & y intercept of the graph of each equation 2x-4y=10      Log On


   



Question 54874: state the slope & y intercept of the graph of each equation
2x-4y=10

Answer by funmath(2933) About Me  (Show Source):
You can put this solution on YOUR website!
state the slope & y intercept of the graph of each equation
2x-4y=10
First put the equation into slope intercept form highlight%28y=mx%2Bb%29, where m=slope and (0,b)=y-intercept:
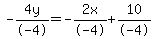
2x-4y=10
-2x%2B2x-4y=-2x%2B10
-4y=-2x%2B10
-4y%2F-4=-2x%2F-4%2B10%2F-4 (the fractions on the right reduce by a factor of 2)
y=%281%2F2%29x-5%2F2
y=highlight%28%281%2F2%29%29x-5%2F2 The slope=m=1/2
y=%281%2F2%29x%2Bhighlight%28-5%2F2%29 The y-intercept=(0,b)=(0,-5/2)
Happy Calculating!!!