SOLUTION: The cost function for a certain company is
C = 50x + 600 and the revenue is given by R = 100x − 0.5x2.
Recall that profit is revenue minus cost. Set up a quadratic equati
Algebra ->
Coordinate-system
-> SOLUTION: The cost function for a certain company is
C = 50x + 600 and the revenue is given by R = 100x − 0.5x2.
Recall that profit is revenue minus cost. Set up a quadratic equati
Log On
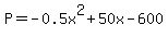
Question 1124409: The cost function for a certain company is
C = 50x + 600 and the revenue is given by R = 100x − 0.5x2.
Recall that profit is revenue minus cost. Set up a quadratic equation and find two values of x (production level) that will create a profit of $600. Answer by MathLover1(20850) (Show Source):