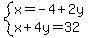
SOLUTION: Alex has two younger siblings. His sisters current age is 4 less than twice his brothers current age. The sum of his sisters current age and 4 times his brothers current age is 32.

Algebra ->  Coordinate-system -> SOLUTION: Alex has two younger siblings. His sisters current age is 4 less than twice his brothers current age. The sum of his sisters current age and 4 times his brothers current age is 32.      Log On


   



Question 1035570: Alex has two younger siblings. His sisters current age is 4 less than twice his brothers current age. The sum of his sisters current age and 4 times his brothers current age is 32.
Using x to represent his sisters age and y to represent his brothers age, set up two equations based on the information above

Answer by josgarithmetic(39620) About Me  (Show Source):