SOLUTION: having trouble. please explain the answer if you dont mind http://www2.edmastery.com/files/nnds_prod_data/itemAssets/nnds_li%20-%20production%5Cdantonm%5C6_1_3_101.jpg

Algebra ->  Bodies-in-space -> SOLUTION: having trouble. please explain the answer if you dont mind http://www2.edmastery.com/files/nnds_prod_data/itemAssets/nnds_li%20-%20production%5Cdantonm%5C6_1_3_101.jpg      Log On


   



Question 256490: having trouble. please explain the answer if you dont mind
http://www2.edmastery.com/files/nnds_prod_data/itemAssets/nnds_li%20-%20production%5Cdantonm%5C6_1_3_101.jpg

Answer by jim_thompson5910(35256) About Me  (Show Source):
You can put this solution on YOUR website!
First, convert 1%263%2F4 to an improper fraction.

Solved by pluggable solver: Converting Mixed Fractions to Improper Fractions (and vice versa)

Mixed Fractions to Improper Fractions


Remember, mixed fractions (or mixed numbers) are of the form:


numerator
whole part ----------------
denominator

So we can see that: whole_part=1, numerator=3, and denominator=4

Now follow these steps to convert the mixed fraction to an improper fraction

Step 1) First, multiply the whole part 1 by the denominator 4 to get 1%2A4=4.

Step 2) Now add that result to the numerator 3 to get 4%2B3=7. This result is the new numerator. The denominator will remain the same.

Step 3) Place the new numerator 7 over the original denominator 4 to get 7%2F4

=============================

Answer:

So, 1%263%2F4=7%2F4




So we know that the cube has an edge of 7%2F4 feet.


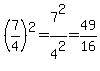
Now let's find the area of any one face. To do that, just square 7%2F4 to get %287%2F4%29%5E2=7%5E2%2F4%5E2=49%2F16

So the area of any given face is 49%2F16 square feet.


Now just multiply that by 5 (the number of faces Jane wants to carpet) to get %2849%2F16%29%2A5=245%2F16


Now let's convert 245%2F16 to a mixed fraction



Solved by pluggable solver: Converting Mixed Fractions to Improper Fractions (and vice versa)

245%2F16 Start with the given improper fraction.

%28240%2B5%29%2F16 Break up 245 to get 240%2B5. Note: Make sure that the first number is a multiple of the denominator 16

240%2F16%2B5%2F16 Break up the fraction.

15%2B5%2F16 Reduce

=============================

Answer:

So, 245%2F16=15%265%2F16



So the total surface area she wants to carpet is 15%265%2F16 square feet. So the answer is A)