SOLUTION: a cone-shaped container has a height of 12 inches. if the radius of the circular base of the cone is 3 inches, what is the measure of the space inside the conte to the nearest cubi
Algebra ->
Bodies-in-space
-> SOLUTION: a cone-shaped container has a height of 12 inches. if the radius of the circular base of the cone is 3 inches, what is the measure of the space inside the conte to the nearest cubi
Log On
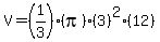
Question 178740: a cone-shaped container has a height of 12 inches. if the radius of the circular base of the cone is 3 inches, what is the measure of the space inside the conte to the nearest cubic inch? Answer by Mathtut(3670) (Show Source):