SOLUTION: A and B are two points on a sphere of radius 2. We know the space distance between A and B is 2, What is distance from A to B along the (minor) arc of a great circle?

Algebra ->  Bodies-in-space -> SOLUTION: A and B are two points on a sphere of radius 2. We know the space distance between A and B is 2, What is distance from A to B along the (minor) arc of a great circle?       Log On


   



Question 1210153: A and B are two points on a sphere of radius 2. We know the space distance between A and B is 2, What is distance from A to B along the (minor) arc of a great circle?

Found 2 solutions by Edwin McCravy, greenestamps:
Answer by Edwin McCravy(20086) About Me  (Show Source):
You can put this solution on YOUR website!



The triangle is equilateral, so the central angle is 60o,
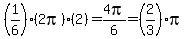
so the arc is 60%5Eo%2F360%5Eo+=+1%2F6 of the circumference of a great circle.

The circumference of a great circle is 2%2Api%2Ar=2%2Api%2A2=4%2Api

The length of the arc is expr%281%2F6%29%2A4pi or expr%282%2F3%29pi.

Edwin






Answer by greenestamps(13355) About Me  (Show Source):
You can put this solution on YOUR website!


If O is the center of the sphere, then OA, OB and AB all have length 2, so triangle AOB is equilateral; its angles are each 60 degrees.

The angle subtended by minor arc AB is then 60 degrees, which is 1/6 of a circle. The length of minor arc AB is then 1/6 of the circumference of a circle with radius 2.

%281%2F6%29%282pi%29%282%29=4pi%2F6=%282%2F3%29pi

ANSWER: %282%2F3%29pi