SOLUTION: Alya wants to use a piece of rectangular aluminum to build an open cylinder on both ends. If the perimeter of the aluminum piece is 32 cm, find the length and width, in cm, of the

Algebra ->  Bodies-in-space -> SOLUTION: Alya wants to use a piece of rectangular aluminum to build an open cylinder on both ends. If the perimeter of the aluminum piece is 32 cm, find the length and width, in cm, of the       Log On


   



Question 1129435: Alya wants to use a piece of rectangular aluminum to build an open cylinder on both ends. If the perimeter of the aluminum piece is 32 cm, find the length and width, in cm, of the aluminum piece so that the volume of the cylinder built is maximum
Answer by ankor@dixie-net.com(22740) About Me  (Show Source):
You can put this solution on YOUR website!
Alya wants to use a piece of rectangular aluminum to build an open cylinder on both ends.
If the perimeter of the aluminum piece is 32 cm, find the length and width, in cm, of the aluminum piece so that the volume of the cylinder built is maximum
:
let x = the width of the aluminum piece
let L = the length
the perimeter
2L + 2x = 32
simplify, divide by 2
L + x = 16
L = (-x+16)
:
The circumference is the width = x, the height is the Length = (-x+16)
Find r using the circumference
2%2Api%2Ar = x
r = x%2F%28%282%2Api%29%29
:
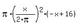
The volume equation
V = pi%2Ar%5E2%2Ah
replace r with x%2F%28%282%2Api%29%29, replace h with (-x+16)
V = pi%2A%28x%2F%282%2Api%29%29%5E2%2A%28-x%2B16%29
V = pi%2A%28x%5E2%2F%284%2Api%5E2%29%29%2A%28-x%2B16%29
Cancel pi
V = %28x%5E2%2F%284%2Api%29%29%2A%28-x%2B16%29
plot this equation,

:
Max volume occurs when x = 10.67 cm
Find the height (length)
16 - 10.67 = 5.33 cm
:
the aluminum sheet should be 10.67 by 5.33