SOLUTION: a 6 foot long pipe has an outside diameter of 2.50 inches and the volume of the pipe is equal to 429 cubic inches. find the wall thickness?

Algebra ->  Bodies-in-space -> SOLUTION: a 6 foot long pipe has an outside diameter of 2.50 inches and the volume of the pipe is equal to 429 cubic inches. find the wall thickness?      Log On


   



Question 1099869: a 6 foot long pipe has an outside diameter of 2.50 inches and the volume of the pipe is equal to 429 cubic inches. find the wall thickness?
Found 2 solutions by richwmiller, josgarithmetic:
Answer by richwmiller(17219) About Me  (Show Source):
Answer by josgarithmetic(39631) About Me  (Show Source):
You can put this solution on YOUR website!
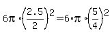
Entire outside volume, 6pi%2A%282.5%2F2%29%5E2=6%2Api%2A%285%2F4%29%5E2, cubic centimeters.
You do not really need all this; you only need to know the 1.25 cm radius.


INSIDE volume for empty space EXCLUDING the wall, 6pi%2Ar%5E2=429

What is the wall's thickness? Solve for r and then find 5%2F4-r.
Or 1.25-r.