SOLUTION: Consider the following vectors. v = 3i + 4j, w = 4i + 3j (a) Find the angle between v and w.

Algebra ->  Average -> SOLUTION: Consider the following vectors. v = 3i + 4j, w = 4i + 3j (a) Find the angle between v and w.      Log On


   



Question 955635: Consider the following vectors.
v = 3i + 4j, w = 4i + 3j

(a) Find the angle between v and w.

Answer by Fombitz(32388) About Me  (Show Source):
You can put this solution on YOUR website!
Use the dot product,
A%2AB=abs%28A%29abs%28B%29%2Acos%28theta%29
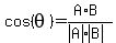
cos%28theta%29=%28A%2AB%29%2F%28abs%28A%29abs%28B%29%29
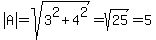
abs%28A%29=sqrt%283%5E2%2B4%5E2%29=sqrt%2825%29=5
abs%28B%29=sqrt%284%5E2%2B3%5E2%29=sqrt%2825%29=5
A%2AB=4%283%29%2B3%284%29=12%2B12=25
cos%28theta%29=24%2F25
theta=16.26