Question 909162: 3 man can can do as much work as 5 women and 1 women can do as much work as 2 children. if 20 women can finish work in 14 days , in how many days will the same work be finished by 6 man, 5 women and 5 children ?
Answer by josgarithmetic(39631) (Show Source):
You can put this solution on YOUR website! Start with the rate for 20 women in 14 days. The one-woman rate is jobs per day.
Each child has a rate half of one woman, so the child rate is .
Simplify those rates.
Woman, 
Child,
Compare with the men.
Let r = the one-man rate.
, which is R*T for each of these two groups, the three men compared to the five women;


Summary of each one-person work rate:
Man, 
Woman, 
Child,
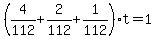
QUESTION: In how much time in days, for 6 men, 5 women, and 5 children? ONE job.


Start simplifying

LCD is 112



, DAYS
|
|
|