SOLUTION: What is the answer m/3 - 4 =12 ; 24 like check weather the given number is a solution of the equation ?
Algebra
->
Average
-> SOLUTION: What is the answer m/3 - 4 =12 ; 24 like check weather the given number is a solution of the equation ?
Log On
Algebra: Average
Section
Solvers
Solvers
Lessons
Lessons
Answers archive
Answers
Click here to see ALL problems on Average
Question 895074
:
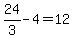
What is the answer
m/3 - 4 =12 ; 24 like check weather the given number is a solution of the equation ?
Answer by
Fombitz(32388)
(
Show Source
):
You can
put this solution on YOUR website!
So just plug in the value and see.
False, so no
is not a solution to this equation.
If it was, the answer would have been True.