SOLUTION: The mean of the 20 students’ scores in my first section is 75. The mean of the 30 students’ scores in my second section is 85. What is the overall mean for both sections?

Algebra ->  Average -> SOLUTION: The mean of the 20 students’ scores in my first section is 75. The mean of the 30 students’ scores in my second section is 85. What is the overall mean for both sections?       Log On


   



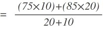
Question 859769: The mean of the 20 students’ scores in my first section is 75. The mean of the 30 students’ scores in my second section is 85. What is the overall mean for both sections?

Answer by girish221178(1) About Me  (Show Source):
You can put this solution on YOUR website!
Overall Mean =
.
.
.
= 81.66