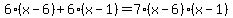
SOLUTION: 1/(x-1)+1/(x-6)=7/6
Algebra
->
Average
-> SOLUTION: 1/(x-1)+1/(x-6)=7/6
Log On
Algebra: Average
Section
Solvers
Solvers
Lessons
Lessons
Answers archive
Answers
Click here to see ALL problems on Average
Question 831253
:
1/(x-1)+1/(x-6)=7/6
Answer by
Fombitz(32388)
(
Show Source
):
You can
put this solution on YOUR website!
Two solutions:
and