SOLUTION: What is the average of all integers from -n to n+1?

Algebra ->  Average -> SOLUTION: What is the average of all integers from -n to n+1?      Log On


   



Question 827138: What is the average of all integers from -n to n+1?
Answer by jsmallt9(3758) About Me  (Show Source):
You can put this solution on YOUR website!
To find the average we will need to add up all the numbers and then divide by how many numbers there are. First let's count how many numbers there are:
  • From 1 to n (1, 2, 3, ..., n) there are "n" numbers
  • From -1 to -n (-1, -2, -3, ..., -n) there are "n" numbers
  • Plus zero
  • Plus n+1
Altogether that makes n + n + 1 + 1 = 2n+2 numbers.

Now let's add them:
(1 + 2 + 3 + ... + n) + ((-1) + (-2) + (-3) + ... + (-n)) + 0 + (n+1)
We should be able to see that the first two groups are exact opposites of each other. All the terms in them add up to zero! So now we have:
0 + 0 + (n+1) = n+1

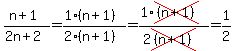
Now we can find the average:
Average =
Since there is no "n" in our average, the average is 1/2 no matter what "n" is!