SOLUTION: how do you complete the square to put in the form f(x)= a(x-h)^2 +k f(x)=-x^2+4x-5

Algebra ->  Average -> SOLUTION: how do you complete the square to put in the form f(x)= a(x-h)^2 +k f(x)=-x^2+4x-5      Log On


   



Question 750980: how do you complete the square to put in the form f(x)= a(x-h)^2 +k
f(x)=-x^2+4x-5

Answer by josgarithmetic(39623) About Me  (Show Source):
You can put this solution on YOUR website!
You would add a term and subtract the same term, allowing you to convert part of the expression into a factorable square trinomial. Your given function would be handled this way:

-x%5E2%2B4x-5=-1%2A%28x%5E2-4x%2B5%29, factor a -1

See the non-square part which is x%5E2-4x, which can be factored into x%28x-4%29. This is like a representation of a rectangle of x by (x-4) area. You could imagine cutting the longer length to leave a square area, cut the extra piece in half and put one of them along the other neighboring side of the square piece. A drawing would be better, as would be found in a few intermediate algebra books. Anyway, you will notice a missing square corner. THAT represents the term to both add and subtract symbolically.
Continuing....
You want %28-4%2F2%29%5E2=4. This is that missing square term.

-1%2A%28x%5E2-4x%2B5%29=-1%2A%28x%5E2-4x%2B4%2B5-4%29
=-1%2A%28%28x-2%29%5E2%2B5-4%29
=-1%2A%28%28x-2%29%5E2%2B1%29
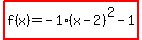
=-1%2A%28x-2%29%5E2-1, square completed.

The standard form for your function is highlight%28f%28x%29=-1%28x-2%29%5E2-1%29