SOLUTION: The Radioactive isotope technetium 99m (99mTc) is used in imaging the brain. the isotope has a half life of 6 hours. If 12 milligrams are used how much will be present after three

Algebra ->  Average -> SOLUTION: The Radioactive isotope technetium 99m (99mTc) is used in imaging the brain. the isotope has a half life of 6 hours. If 12 milligrams are used how much will be present after three       Log On


   



Question 569108: The Radioactive isotope technetium 99m (99mTc) is used in imaging the brain. the isotope has a half life of 6 hours. If 12 milligrams are used how much will be present after three hours and 24 hours?
Answer by htmentor(1343) About Me  (Show Source):
You can put this solution on YOUR website!
The Radioactive isotope technetium 99m (99mTc) is used in imaging the brain. the isotope has a half life of 6 hours. If 12 milligrams are used how much will be present after three hours and 24 hours?
===================
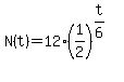
The radioactive decay formula can be written N%28t%29+=+N0%281%2F2%29%5E%28t%2FT%29
where T = the half-life, N0 = the amount at t=0, and N(t) = the amount at time t
Given: N0 = 12 mg, T = 6 h
So the formula can be written N%28t%29+=+12%281%2F2%29%5E%28t%2F6%29
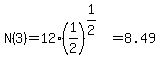
The amount after 3 hrs is N%283%29+=+12%281%2F2%29%5E%281%2F2%29+=+8.49 mg
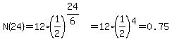
The amount after 24 hrs is N%2824%29+=+12%281%2F2%29%5E%2824%2F6%29+=+12%281%2F2%29%5E4+=+0.75 mg