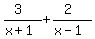
SOLUTION: Reduce (3)/(x+1)+ (2)/(x-1) to lowest terms.

Algebra ->  Average -> SOLUTION: Reduce (3)/(x+1)+ (2)/(x-1) to lowest terms.       Log On


   



Question 391945: Reduce (3)/(x+1)+ (2)/(x-1) to lowest terms.

Answer by ewatrrr(24785) About Me  (Show Source):
You can put this solution on YOUR website!

Hi
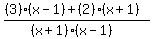
reducing to lowest terms by usin LCD of (x+1)(x-1)
%283%29%2F%28x%2B1%29%2B+%282%29%2F%28x-1%29
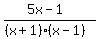
%28%283%29%28x-1%29%2B+%282%29%28x%2B1%29%29%2F%28%28x%2B1%29%28x-1%29%29
%285x-1%29%2F%28%28x%2B1%29%28x-1%29%29