SOLUTION: A drug is injected into a patient and the concentration of the drug is monitored. The drug's concentration, C(t), in milligrams per liter after t hours is modeled by C(t)=(7t)/(2t^

Algebra ->  Average -> SOLUTION: A drug is injected into a patient and the concentration of the drug is monitored. The drug's concentration, C(t), in milligrams per liter after t hours is modeled by C(t)=(7t)/(2t^      Log On


   



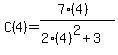
Question 317530: A drug is injected into a patient and the concentration of the drug is monitored. The drug's concentration, C(t), in milligrams per liter after t hours is modeled by C(t)=(7t)/(2t^2+3). Estimate the drug's concentration after 4 hours. Round to the nearest hundreth. The choices are 2.69 m/l, 2.55 m/l, 0.94 m/l and 0.80 m/l. I cannot get any of these answers when I try to solve the problem.
Ken

Answer by Fombitz(32388) About Me  (Show Source):