Question 1197953: Your group are running a foundation for street children. Ms. Queen, a friend and rich benefactor, offers two options for her donations:
Option A: To give $1000 on day 1,
$999 on day 2, $998 on day 3, with the process to end after 1000 days.
Option B: To give $1000 on the first month and increase the
donation by 12% on the next month. This will continue for 3 years
You have to tell her which option you will take.
Answer by math_tutor2020(3817) (Show Source):
You can put this solution on YOUR website!
Option A has the sequence: 1000, 999, 998, ..., 3, 2, 1
It is arithmetic with
= 1000 = first term
d = -1 = common difference
n = 1000 terms
= sum of the first n terms of an arithmetic sequence

Therefore, adding the terms 1000,999,998,...,3,2,1 will get us the sum 500500
1000+999+998+...+3+2+1 = 500500
-------------------------------------------------------
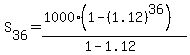
Option B is a geometric sequence: 1000, 1000*(1.12), 1000*(1.12)^2, ..., 1000*(1.12)^(36-1)
Note: 3 years = 3*12 = 36 months
a = 1000 = first term
r = 1.12 = common ratio, to represent an increase of 12%
n = 36 = number of terms
= sum of the first n terms of a geometric sequence
If you go for option A, then you'll get a total of $500,500.
If you go for option B, then you'll get a total of $484,463.12
We see that option A is better by 16036.88 dollars since 500500-484463.12 = 16036.88
-------------------------------------------------------
Answer: Option A offers the most money at $500,500.
|
|
|