SOLUTION: A parabola has a y-intercept of -4 and passes through the points (-2, 8) and (1, -1). Determine the vertex of the parabola.

Algebra ->  Average -> SOLUTION: A parabola has a y-intercept of -4 and passes through the points (-2, 8) and (1, -1). Determine the vertex of the parabola.      Log On


   



Question 1186906: A parabola has a y-intercept of -4 and passes through the points (-2, 8) and (1, -1). Determine the vertex of the
parabola.

Answer by MathLover1(20850) About Me  (Show Source):
You can put this solution on YOUR website!

A parabola has a y-intercept of -4+=>(0,-4+) =>k=-4
and passes through the points (-2, 8) and (1, -1).
Determine the vertex of the parabola.
use the vertex form of a quadratic equation:
y+=+a+%28+x-+h+%29%5E2+%2B+k........use given point (-2, 8) and intercept k=-4
8=+a+%28+-2-+h+%29%5E2+-4......solve for a
%288%2B4%29%2F%28+-2-+h+%29%5E2+=+a+
12%2F%28+-2-+h+%29%5E2+=+a+........eq.1

y+=+a+%28+x-+h+%29%5E2+%2B+k........use given point (1, -1) and intercept k=-4
-1+=+a+%281-+h+%29%5E2+-4
%28-1%2B4%29+%2F%281-+h+%29%5E2=+a++
3+%2F%281-+h+%29%5E2=+a++...........eq.2
from eq.1 and eq.2 we have
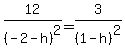
12%2F%28+-2-+h+%29%5E2+=+3+%2F%281-+h+%29%5E2..........solve for h
12%281-+h+%29%5E2+=+3%28+-2-+h+%29%5E2.....simplify
4%281-+h+%29%5E2+=+%28+-2-+h+%29%5E2
4%28h%5E2+-+2+h+%2B+1+%29+=+h%5E2+%2B+4+h+%2B+4
4h%5E2+-+8+h+%2B+4+=+h%5E2+%2B+4+h+%2B+4
4h%5E2+-+8+h+%2B+4+-+h%5E2+-+4+h+-4=0
3h%5E2+-+12h+++=0
%283h+-+12%29h+++=0
solutions:
h=0
or
3h+-+12+++=0 =>3h=12=>h=4
the vertex of the parabola is at (0,-4) or (4,-4)

go to 12%2F%28+-2-+h+%29%5E2+=+a+........eq.1, substitute h
if h=0
12%2F%28+-2-+0+%29%5E2+=+a+
12%2F4+=+a+
a=3
or
if h=4
12%2F%28+-2-+4+%29%5E2+=+a+
12%2F36+=+a+
a=1%2F3



so, your parabola is:
y+=+3+%28+x-+0+%29%5E2+-4
y+=+3+x%5E2+-4
or
y+=+%281%2F3%29+%28+x-+4+%29%5E2+-4

let's see both solutions on the graph:
1. y+=+3+x%5E2+-4


2.