SOLUTION: does the equation x^3+y^5=4 define y as a function of x?

Algebra ->  Average -> SOLUTION: does the equation x^3+y^5=4 define y as a function of x?      Log On


   



Question 1117702: does the equation x^3+y^5=4 define y as a function of x?
Answer by greenestamps(13203) About Me  (Show Source):
You can put this solution on YOUR website!


Yes.

Every value of x produces exactly one value of y.

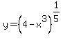
x%5E3%2By%5E5+=+4
y%5E5+=+%284-x%5E3%29
y+=+%284-x%5E3%29%5E%281%2F5%29

A graph:

graph%28400%2C400%2C-10%2C10%2C-5%2C5%2C%284-x%5E3%29%5E%281%2F5%29%29

Hmmmm....

I'm not sure why the graphing algorithm can't handle this function; the graph is symmetric about the point (4^(1/3),0).