SOLUTION: A person who takes up running for exercise can run 8 miles without stopping. She has also found that she can increase this distance by 5 percent every month. Referring to the abo

Algebra ->  Average -> SOLUTION: A person who takes up running for exercise can run 8 miles without stopping. She has also found that she can increase this distance by 5 percent every month. Referring to the abo      Log On


   



Question 1042274: A person who takes up running for exercise can run 8 miles without stopping. She has also found that she can increase this distance by 5 percent every month.
Referring to the above scenario, how many months will it be before she can run in a 10-mile race WITHOUT stopping?

Answer by josgarithmetic(39623) About Me  (Show Source):
You can put this solution on YOUR website!
Points (x,y) for months, and corresponding distance in miles. Two points are (0,8) and (x,10), but you do not know this x.

You could recognize that a change rate is given as 0.05 of distance per month.

y=8%281.05%29%5Ex

8%281.05%29%5Ex=10

log%28%288%29%29%2Bx%2Alog%28%281.05%29%29=log%28%2810%29%29 and using base 10 might be easier.

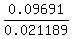
x=%28log%28%2810%29%29-log%28%288%29%29%29%2Flog%28%281.05%29%29

0.09691%2F0.021189

x=4.573

about 4 months and some fraction of a week.
Maybe 4 months and 2 days; but "4 months" is probably good enough accuracy.