SOLUTION: John needs to know his GPA for his first and only 12 credits. His courses and grades were: 4 credit C (2.0), 3 credit D (1.0), 5 credit C+ (2.5). If he takes another 10 credits and

Algebra ->  Average -> SOLUTION: John needs to know his GPA for his first and only 12 credits. His courses and grades were: 4 credit C (2.0), 3 credit D (1.0), 5 credit C+ (2.5). If he takes another 10 credits and      Log On


   



Question 1041637: John needs to know his GPA for his first and only 12 credits. His courses and grades were: 4 credit C (2.0), 3 credit D (1.0), 5 credit C+ (2.5). If he takes another 10 credits and gets a 2.5 average for those what will his new gpa be?
I understand how to find the average of all of his scores on the first part, but how do you get the answer for the second part? Would it be a gpa?

Answer by Fombitz(32388) About Me  (Show Source):
You can put this solution on YOUR website!
It would be a weighted average.
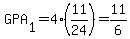
So for the first ten he got,
%282%2B1%2B2.5%29%2F%284%2B3%2B5%29=11%2F24
GPA%5B1%5D=4%2811%2F24%29=11%2F6
So then,
GPA=%28GPA%5B1%5D%2A12%2BGPA%5B2%5D%2A10%29%2F%2812%2B10%29
GPA=%28%2811%2F6%29%2A12%2B%285%2F2%29%2A10%29%2F22
GPA=%2822%2B25%29%2F22
GPA=2.136