SOLUTION: John is thinking of a number. He multiplied this number by 2. Then he added 11 to the new number. Then he multiplied the new number by 4. Then he divided this new number by 10. His

Algebra ->  Average -> SOLUTION: John is thinking of a number. He multiplied this number by 2. Then he added 11 to the new number. Then he multiplied the new number by 4. Then he divided this new number by 10. His      Log On


   



Question 1012123: John is thinking of a number. He multiplied this number by 2. Then he added 11 to the new number. Then he multiplied the new number by 4. Then he divided this new number by 10. His final number was 10. What number did John start with? Solve algebraically

Found 2 solutions by ValorousDawn, MathLover1:
Answer by ValorousDawn(53) About Me  (Show Source):
You can put this solution on YOUR website!
Lets say the starting number is x.
He multiplied this number by 2. We now have 2%2Ax=2x
He added 11. We know have 2x%2B11
He multiplied the number by four, we get 4%282x%2B11%29=8x%2B44
He divided this number by 10. This gives %288x%2B44%29%2F10
This equals 10, so we equate this. %288x%2B44%29%2F10=10
Then we can solve. 8x%2B44=100
8x=56
x=7

Answer by MathLover1(20853) About Me  (Show Source):
You can put this solution on YOUR website!
let the number be x
first, step-by-step, write equation
1.John is thinking of a number: x
2.He multiplied this number by 2: 2x
3.Then he added 11 to the new number:2x%2B11
4. Then he multiplied the new number by 4:4%282x%2B11%29
5. Then he divided this new number by 10:4%282x%2B11%29%2F10
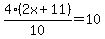
6. His final number was 10: 4%282x%2B11%29%2F10=10
now solve equation for x

4%282x%2B11%29%2F10=10
cross%284%292%282x%2B11%29%2Fcross%2810%295=10
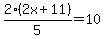
2%282x%2B11%29%2F5=10
2%282x%2B11%29=10%2A5
4x%2B22=50
4x=50-22
4x=28
x=28%2F4
x=7

check our solution:
4%282x%2B11%29%2F10=10
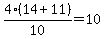
4%282%287%29%2B11%29%2F10=10
4%2814%2B11%29%2F10=10
4%2825%29%2F10=10
100%2F10=10
10=10