SOLUTION: Identify the value of y. http://my.thinkwell.com/questionbank/95001-96000/95684/img/238253.jpg Options: y = 1 y = 2 y = 3 OR y = 4

Algebra ->  Angles -> SOLUTION: Identify the value of y. http://my.thinkwell.com/questionbank/95001-96000/95684/img/238253.jpg Options: y = 1 y = 2 y = 3 OR y = 4       Log On


   



Question 935012: Identify the value of y.
http://my.thinkwell.com/questionbank/95001-96000/95684/img/238253.jpg
Options:
y = 1
y = 2
y = 3
OR
y = 4

Answer by MathLover1(20850) About Me  (Show Source):
You can put this solution on YOUR website!

hypotenuse is y%2B2
one leg is y, the other leg is 4
use Pythagorean theorem to find y
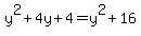
%28y%2B2%29%5E2=y%5E2%2B4%5E2
y%5E2%2B4y%2B4=y%5E2%2B16
cross%28y%5E2%29%2B4y%2B4=cross%28y%5E2%29%2B16
4y%2B4=16
4y=16-4
4y=12
highlight%28y=3%29=> your answer

so, hypotenuse is y%2B2=5, one leg is y=3, the other leg is 4