SOLUTION: if m<1 = 4y+15 m<2 = 7y-11 and they are complementary which angle is bigger?

Algebra ->  Angles -> SOLUTION: if m<1 = 4y+15 m<2 = 7y-11 and they are complementary which angle is bigger?      Log On


   



Question 687098: if m<1 = 4y+15 m<2 = 7y-11 and they are complementary which angle is bigger?
Answer by ReadingBoosters(3246) About Me  (Show Source):
You can put this solution on YOUR website!
complementary angles have a sum of 90
4y + 15 + 7y - 11 = 90 ==> combine like terms
11y + 4 = 90 ==> isolate the variable
11y = 86 ==> divide both sides by 11
y = 86%2F11
...
substitute the value of y to find the angle
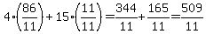
m<1: 4y + 15 = 4%2886%2F11%29+%2B+15%2811%2F11%29+=+344%2F11%2B165%2F11+=+509%2F11
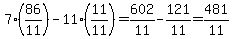
m<2: 7y - 11 = 7%2886%2F11%29+-+11%2811%2F11%29+=+602%2F11-121%2F11+=+481%2F11
...
m<1 is larger
………………………
Have more math questions? Get them all addressed at once.
HomeworkHelpers@ReadingBoosters.com
for quick, personalized coaching
--Reading Boosters