SOLUTION: what is the measure of an angle that is half as large as its complement

Algebra ->  Angles -> SOLUTION: what is the measure of an angle that is half as large as its complement      Log On


   



Question 659893: what is the measure of an angle that is half as large as its complement
Answer by MathLover1(20850) About Me  (Show Source):
You can put this solution on YOUR website!
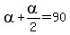
complementary angles add up to 90
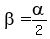
if beta=+alpha%2F2, then

alpha+%2Balpha%2F2=90

3alpha%2F2=90

3alpha=90%2A2

alpha=180%2F3

alpha=60, then

beta=+60%2F2=30