SOLUTION: triangle PQR with vertices p(-6,-3), Q(1,-1), R(1,-5). Find the perimeter each polygon

Algebra ->  Angles -> SOLUTION: triangle PQR with vertices p(-6,-3), Q(1,-1), R(1,-5). Find the perimeter each polygon      Log On


   



Question 493223: triangle PQR with vertices p(-6,-3), Q(1,-1), R(1,-5). Find the perimeter each polygon
Answer by cleomenius(959) About Me  (Show Source):
You can put this solution on YOUR website!
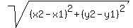
We can use the distance formula to find the distance of each point.
sqrt%28%28x2+-+x1%29%5E2+%2B+%28y2+-+y1%29%5E2+%29
=============================================
PQ = sqrt%28%281+-+-6%29%5E2+%2B+%28-1+-+-3%29%5E2+%29
PQ = sqrt%28%287%29%5E2+%2B+%282%29%5E2+%29
PQ = sqrt%2849+%2B+4+%29
PQ =sqrt%2853+%29
PQ = 7.3
============================================
QR = sqrt%28%281+-1%29%5E2+%2B+%28-5+-+-1%29%5E2+%29
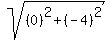
QR = sqrt%28%280%29%5E2+%2B+%28-4%29%5E2+%29
QR = sqrt%2816+%29
QR = 4
============================================
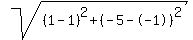
PR = sqrt%28%281+--6%29%5E2+%2B+%28-5+--3%29%5E2+%29
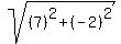
PR = sqrt%28%287%29%5E2+%2B+%28-2%29%5E2+%29
PR =sqrt%2853+%29
PR = 7.3
============================================
7-3 + 4 + 7.3 = 18.6, this is our perimeter.
Cleomenius.