SOLUTION: angle A= 64 degrees angle B = (4x-30) Please show how to find supplement of A and supplement of B.
Algebra
->
Angles
-> SOLUTION: angle A= 64 degrees angle B = (4x-30) Please show how to find supplement of A and supplement of B.
Log On
Geometry: Angles, complementary, supplementary angles
Geometry
Solvers
Solvers
Lessons
Lessons
Answers archive
Answers
Click here to see ALL problems on Angles
Question 344383
:
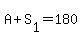
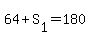
angle A= 64 degrees angle B = (4x-30)
Please show how to find supplement of A and supplement of B.
Answer by
Fombitz(32388)
(
Show Source
):
You can
put this solution on YOUR website!
Supplementary angles sum to 180.
Solve for
.
.
.
.