SOLUTION: The legs of a right triangle measure 11.4 meters and 15.1 meters. To the nearest tenth, which could be the measure of the smallest angle? Multiple Choice: A. 31.1 degrees B. 3

Algebra ->  Angles -> SOLUTION: The legs of a right triangle measure 11.4 meters and 15.1 meters. To the nearest tenth, which could be the measure of the smallest angle? Multiple Choice: A. 31.1 degrees B. 3      Log On


   



Question 1159261: The legs of a right triangle measure 11.4 meters and 15.1 meters. To the nearest tenth, which could be the measure of the smallest angle?
Multiple Choice:
A. 31.1 degrees
B. 38.6 degrees
C. 37.1 degrees
D. 52.9 degrees
I really appreciate your help :)

Answer by greenestamps(13200) About Me  (Show Source):
You can put this solution on YOUR website!


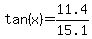
The smaller acute angle is opposite the shorter leg.

The tangent of the smaller acute angle is the ratio of the length of the shorter leg to the length of the longer leg.

tan%28x%29+=+11.4%2F15.1

Use the inverse tangent function on a calculator to find the answer.