SOLUTION: The measure of the smallest angle of a triangle is one half the measure of the second angle. If the measure of the largest angle is six times the measure of the smallest angle, wha
Algebra ->
Angles
-> SOLUTION: The measure of the smallest angle of a triangle is one half the measure of the second angle. If the measure of the largest angle is six times the measure of the smallest angle, wha
Log On
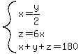
Question 1067915: The measure of the smallest angle of a triangle is one half the measure of the second angle. If the measure of the largest angle is six times the measure of the smallest angle, what are the measures of the angle?