SOLUTION: if 3x^2 - y^2 = 4 and xy = 2 find x and y

Algebra ->  College  -> Linear Algebra -> SOLUTION: if 3x^2 - y^2 = 4 and xy = 2 find x and y      Log On


   



Question 994118: if 3x^2 - y^2 = 4 and xy = 2 find x and y
Found 2 solutions by josgarithmetic, MathTherapy:
Answer by josgarithmetic(39627) About Me  (Show Source):
You can put this solution on YOUR website!
y=2%2Fx can be substituted into .....
....

3x%5E2-%282%2Fx%29%5E2=4

3x%5E4-4=4x%5E2

3x%5E4-4x%5E2-4=0

That is likely factorable, having discriminant of 64.
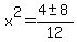
x%5E2=%284%2B-+sqrt%2864%29%29%2F%282%2A3%29
x%5E2=%284%2B-+8%29%2F12
x%5E2=-1%2F3 OR x%5E2=1


If you want Real numbers, then your x%5E2=-1%2F3 is not useful for a solution . You then work with the x^2=1 to find x=-1 or x=1.

Finishing in finding y:
-
x=-1
y=2%2F-1
y=-2
and the other result gives y=2 for x=1.

SUMMARY:
(-1,-2) or (1,2).

Answer by MathTherapy(10556) About Me  (Show Source):
You can put this solution on YOUR website!
if 3x^2 - y^2 = 4 and xy = 2 find x and y


Imaginary roots also exist!