SOLUTION: Y=3(x-2)^2-(x-5)^2. What is the ve"rtex form?
Algebra
->
College
->
Linear Algebra
-> SOLUTION: Y=3(x-2)^2-(x-5)^2. What is the ve"rtex form?
Log On
Algebra: Linear Algebra (NOT Linear Equations)
Section
Solvers
Solvers
Lessons
Lessons
Answers archive
Answers
Click here to see ALL problems on Linear Algebra
Question 957215
:
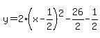
Y=3(x-2)^2-(x-5)^2. What is the ve"rtex form?
Answer by
Fombitz(32388)
(
Show Source
):
You can
put this solution on YOUR website!