Question 846641: x^2 + y^2 = 9
x + y = 2
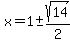
x = ? or ?
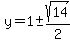
y = ? or ?
Give answer to 2 decimal places
Found 2 solutions by Fombitz, josh_jordan: Answer by Fombitz(32388) (Show Source): Answer by josh_jordan(263) (Show Source):
You can put this solution on YOUR website! To solve this system of equations, first, rewrite the second equation in terms of either x or y. I will rewrite it in terms of y. So, I will rewrite x + y = 2, as y = 2 - x. Next, replace y in equation 1 with 2 - x:
----->
----->
Next, combine like terms:
Now, subtract 9 from both sides, giving us this equation in quadratic form:
----->
You will notice this equation cannot be factored with integers, so we can use the quadratic equation to find the values of x:
Solved by pluggable solver: SOLVE quadratic equation with variable |
Quadratic equation (in our case ) has the following solutons:

For these solutions to exist, the discriminant should not be a negative number.
First, we need to compute the discriminant : .
Discriminant d=56 is greater than zero. That means that there are two solutions: .


Quadratic expression can be factored:

Again, the answer is: 2.87082869338697, -0.870828693386971.
Here's your graph:
 |
Rounding to two decimal points gives us x: 2.87 or -0.87
To find y, replace each of these values for x in our second equation x + y = 2:
2.87 + y = 2 ----->
y = 2 - 2.87 ----->
y = -.87
AND
-0.87 + y = 2 ----->
y = 2 + 0.87 ----->
y = 2.87
SO, x = 2.87 or -0.87 and y = 2.87 or -0.87
|
|
|