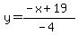
SOLUTION: x-4y=19 for y
Algebra
->
College
->
Linear Algebra
-> SOLUTION: x-4y=19 for y
Log On
Algebra: Linear Algebra (NOT Linear Equations)
Section
Solvers
Solvers
Lessons
Lessons
Answers archive
Answers
Click here to see ALL problems on Linear Algebra
Question 806291
:
x-4y=19 for y
Answer by
jim_thompson5910(35256)
(
Show Source
):
You can
put this solution on YOUR website!